フリップフロップの技術メモ
目的
ディジタル回路の基本となるフリップフロップ関連の知識をまとめる。
フリップフロップ
ざっくり言うと
- ANDやORなどの論理素子を組み合わせただけの「組み合わせ回路」ではなく、記憶機能を持った「順序回路」
- 「記憶」とは「入力電圧を保持し続ける」という意味。(だったら「保持機能」とかにしてくれた方がわかりやすいのに…)
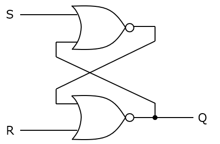
基本回路
こんなの

動作をタイムチャートにするとこんなの

タイムチャートを元に動作を説明する。H=1,L=0とする。立ち上がったとき(Hになったとき)に着目するとわかりやすい。
- Sが立ち上がったとき、(S,R)=(1,0)であり、上のNOR出力は「0」となる。これが下のNORに入力されると、下のNOR入力は共に「0」だから出力は「1」となる。よってQが立ち上がる。
- Q=1が上のNORにも入力されているので、Sが立ち下がったとしても上のNOR出力は「0」となる。よって、R=0である限り、「1.」のプロセスが保持され、Q=1であり続ける。
- Rが立ち上がり、(S,R)=(0,1)となると、下のNOR出力は「0」となりQが立ち下がる。
- タイムチャートを見ると、S=1のパルス入力でQが立ち上がり(セット)、R=1のパルス入力でQが立ち下がる(リセット)。タイムチャートではS・Rがパルス入力になっているが、Qが変化するのはあくまで立ち上がりの部分によるものだからS・Rは別にパルス入力である必要はなく、S長押し、R長押しでもいいはず。(←SとRが同時に「1」となってはならない。後述する)
いろいろなフリップフロップ
工事中(死語)
◆参考文献
[1] プログラム学習による半導体回路Ⅲ